წილადს, რომლის მნიშვნელია 10n , სადაც n∈N , ათწილადი ეწოდება. მაგალითად:

ათწილადებია, რადგან 100 = 102, 1000 = 103 და 10 = 101.
ათწილადს ჩვეულებრივ მნიშვნელის გარეშე გამოსახავენ. წერენ მხოლოდ მრიცხველს და მარჯვნიდან მძიმით გამოყოფენ იმდენ ციფრს, რამდენი ნულიცაა მნიშვნელში; ამასთან, ზოგჯერ საჭირო ხდება წინ ნულების ჩაწერა. მაგალითად:

ათწილადში მძიმის მარჯვნივ მდგომ ციფრებს ათწილადი ნიშნები ეწოდება. წილადის ძირითადი თვისებიდან გამომდინარეობს, რომ ათწილადის სიდიდე არ შეიცვლება, თუ მას მარჯვნივ მივუწერთ ერთ ან რამდენიმე ნულს. მაგალითად:
12,7 = 12,70 = 12,7000.
თუ ათწილადში მძიმეს გადავიტანთ ერთი ათწილადი ნიშნით მარჯვნივ, ათწილადი გაიზრდება 10-ჯერ, ხოლო მძიმის ერთი ათწილადი ნიშნით მარცხნივ გადატანით ათწილადი 10-ჯერ შემცირდება.
ათწილადების შეკრება-გამოკლება სრულდება მთელ რიცხვებზე მოქმედებების მსგავსად, ე. ი. სრულდება შესაბამისი თანრიგების შეკრება-გამოკლება. მაგალითად:

ათწილადი რომ ათწილადზე გავამრავლოთ, საჭიროა გადავამრავლოთ ისინი, როგორც მთელი რიცხვები, ისე რომ მძიმეს ყურადღება არ მივაქციოთ და მიღებულ ნამრავლში მარჯვნიდან მძიმით გამოვყოთ იმდენი ციფრი, რამდენი ათწილადი ნიშანიცაა ორივე თანამამრავლში ერთად. მაგალითად:

ათწილადი რომ გავყოთ მთელზე, საჭიროა ჯერ ათწილადის მთელი ნაწილი გავყოთ მთელზე რაც მოგვცემს განაყოფის მთელ ნაწილს (იგი შეიძლება ნულიც აღმოჩნდეს), შემდეგ ვწერთ მძიმეს, ნაშთს მივუწერთ პირველ ათწილად ნიშანს, მიღებულ რიცხვს ვყოფთ გამყოფზე, რაც მოგვცემს განაყოფის პირველ ათწილად ნიშანს და ყოველი შემდეგი ათწილადი ნიშნის მისაღებად ვიქცევით ანალოგიურად. მაგალითად:

ათწილადი რომ გავყოთ ათწილადზე, საჭიროა გამყოფში მძიმე უკუვაგდოთ, ხოლო გასაყოფში იგი გადავიტანოთ მარჯვნივ იმდენი ათწილადი ნიშნით, რამდენი ათწილადი ნიშანიც იყო გამყოფში (შესაძლებელია გასაყოფში მარჯვნივ დაგვჭირდეს ნულების მიწერა) და შემდეგ შევასრულოთ გაყოფა. მაგალითად:

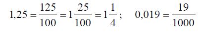
ათწილადი რომ გადავაქციოთ ჩვეულებრივ წილადად, საჭიროა მძიმე უკუვაგდოთ და მიღებული რიცხვი დავწეროთ მრიცხველად, ხოლო მნიშვნელად ავიღოთ რიცხვი გამოსახული 1-ით და მარჯვნივ მიწერილი იმდენი ნულით, რამდენი ათწილადი ნიშანიც იყო ათწილადში. მაგალითად:

იმისათვის, რომ ჩვეულებრივი წილადი გადავაქციოთ ათწილადად, საჭიროა მრიცხველი გავყოთ მნიშვნელზე. შევნიშნოთ, რომ გაყოფის პროცესი ზოგჯერ შეიძლება უსასრულოდ გაგრძელდეს. მაგალითად:


ამრიგად, გაყოფის შედეგად შეიძლება მივიღოთ ათწილადი, რომლის ათწილად ნიშანთა რაოდენობა რაგინდ დიდია. ასეთ ათწილადს უსასრულო ათწილადი ეწოდება. როგორც ზემოთ მოყვანილი მაგალითებიდან ჩანს, უსასრულო ათწილადში შეიძლება მეორდებოდეს ერთი ან რამდენიმე ათწილადი ნიშანი.
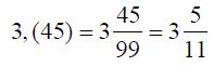
უსასრულო ათწილადს, რომლის ერთი ან რამდენიმე ციფრი დაწყებული გარკვეული ადგილიდან, უცვლელად მეორდება ერთი და იმავე მიმდევრობით, პერიოდული ათწილადი ეწოდება, ხოლო ციფრს ან ციფრთა ერთობლიობას, რომელიც მეორდება - პერიოდი. უსასრულო პერიოდული ათწილადის ჩაწერისას, ხშირად პერიოდს ფრჩხილებში სვამენ. მაგალითად:
0,777... =0,(7); 3,545454...=3,(5 4); 4,41666...=4,41(6).
თუ პერიოდულ ათწილადში პერიოდი იწყება უშუალოდ მძიმის შემდეგ, მაშინ ათწილადს წმინდა პერიოდული ეწოდება, ხოლო წინააღმდეგ შემთხვევაში - შერეული პერიოდული.
ყოველი უსასრულო პერიოდული ათწილადი შეიძლება გადავაქციოთ ჩვეულებრივ წილადად. წმინდა პერიოდული ათწილადი ჩვეულებრივ წილადად რომ გადავაქციოთ, საჭიროა პერიოდი დავწეროთ მრიცხველად, ხოლო მნიშვნელად ავიღოთ იმდენი ცხრიანით გამოსახული რიცხვი, რამდენი ციფრიცაა პერიოდში. მაგალითად:

შერეული პერიოდული ათწილადი რომ გადავაქციოთ ჩვეულებრივ წილადად, საჭიროა რიცხვს მძიმიდან პერიოდის ბოლომდე, გამოვაკლოთ რიცხვი მძიმიდან პერიოდამდე და მიღებული სხვაობა დავწეროთ მრიცხველად, ხოლო მნიშვნელად ავიღოთ რიცხვი, რომელიც გამოსახულია იმდენი ცხრიანით, რამდენი ციფრიცაა პერიოდში და მარჯვნივ მიწერილი იმდენი ნულით, რამდენი ციფრიცაა მძიმიდან პერიოდამდე. მაგალითად:

ამრიგად, ყოველი უსასრულო პერიოდული ათწილადი შეიძლება გადავაქციოთ ჩვეულებრივ წილადად. შეიძლება ვაჩვენოთ, რომ ყოველი ჩვეულებრივი წილადი გადაიქცევა ან სასრულ ათწილადად ან უსასრულო პერიოდულ ათწილადად. კერძოდ:
1. თუ უკვეცი წილადის მნიშვნელს არ გააჩნია 2-ისა და 5-ისაგან განსხვავებული მარტივი მამრავლი, მაშინ წილადი გადაიქცევა სასრულ ათწილადად.
2. თუ უკვეცი წილადის მნიშვნელის მარტივ მამრავლებად დაშლა არ შეიცავს 2-სა და 5-ს, მაშინ წილადი გადაიქცევა წმინდა პერიოდულ ათწილადად.
3. თუ უკვეცი წილადის მნიშვნელის დაშლა სხვა მამრავლებთან ერთად შეიცავს თანამამრავლად 2-ს ან 5-ს, მაშინ წილადი გადაიქცევა შერეულ პერიოდულ ათწილადად.
თუ გავითვალისწინებთ, რომ ყოველი სასრული ათწილადი შეიძლება წარმოვადგინოთ, როგორც უსასრულო პერიოდული, პერიოდით ნული ან პერიოდით 9, შეიძლება დავასკვნათ, რომ ნებისმიერი წილადი გამოისახება უსასრულო პერიოდული ათწილადის საშუალებით.
ამრიგად, რაციონალური რიცხვი შემდეგნაირადაც შეიძლება განისაზღვროს: უსასრულო პერიოდულ ათწილადს რაციონალური რიცხვი ეწოდება.
შენიშვნა: მათემატიკური ცნებები ძირითადად წარმოდგენილია ეროვნული მისაღები გამოცდებისთვის განკუთვნილი სახელმძღვანელოდან - ავტორები: ს.თოფურია, ვ.ხოჭოლავა, ნ.მაჭარაშვილი, გ. აბესაძე, ზ. მეტრეველი.
განმარტება: პროფესორ ს. თოფურიას რედაქციით მეხუთე გადამუშავებული გამოცემა.
ტესტები მათემატიკაში
შემაჯამებელი სულ: 73
შემაჯ. - ამოცანა: 1682
გამოცდა - CAT: 1
CAT - ამოცანა: 186
ოფისი - WINDOWS: 1
WINDOWS - ამოცანა: 25
საჭირო ინფორმაცია
შესრულებულია სულ: 5769
მათ. ცნებები სულ: 87
პოსტი - გაკვეთილი: 332
მომხმარებელი: 149
საიტზე იმყოფება: 5
