ნატურალურ რიცხვთა N სიმრავლეში ყოველთვის შესაძლებელია შეკრების ოპერაციის შესრულება, ე. ი. ნებისმიერი ორი ნატურალური რიცხვის ჯამი კვლავ ნატურალური რიცხვია. რაც შეეხება გამოკლებას, ეს ოპერაცია ნატურალურ რიცხვთა სიმრავლეში ყოველთვის არ სრულდება. მაგალითად, არ არსებობს ნატურალური რიცხვი, რომელიც 2 − 5 ოპერაციის შედეგია.
გამოკლების ოპერაცია რომ ყოველთვის შესაძლებელი იყოს, შემოვიღოთ ეგრეთ წოდებული მთელი უარყოფითი რიცხვები.
ნატურალური რიცხვები აღებული "-" ნიშნით წარმოადგენენ ნატურალური რიცხვების მოპირდაპირე რიცხვებს, ესე იგი 1 და -1; 2 და -2 და ასე შემდეგ მოპირდაპირე რიცხვებია.
ნატურალური რიცხვები, მათი მოპირდაპირე რიცხვები და ნული ერთად წარმოადგენენ მთელ რიცხვებს. ამ რიცხვთა სიმრავლეს აღნიშნავენ Z ასოთი: ... -2, -1, 0, 1, 2, ...
ეს მიმდევრობა უსასრულოდ გრძელდება ორივე მხარეს, რადგან არ არსებობს უმცირესი და უდიდესი მთელი რიცხვი.
ნატურალური რიცხვები და ნული წარმოადგენს არაუარყოფით მთელ რიცხვთა სიმრავლეს.
უარყოფითი მთელი რიცხვები და ნული წარმოადგენს არადადებით მთელ რიცხვთა სიმრავლეს.
წრფეს რომელზეც მონიშნულია ათვლის წერტილი (0) და მასშტაბი (ერთეულის ტოლი მონაკვეთი) და დადებითი მიმართულება, რიცხვითი ღერძი ეწოდება. ნულის მარჯვნივ მდებარეობს დადებითი რიცხვები, მარცხნივ - უარყოფითი.
რიცხვითი ღერძის ყოველ წერტილს შეესაბამება ნამდვილი რიცხვი, რომელსაც ამ წერტილის კოორდინატი ეწოდება.
A წერტილის კოორდინატია -1, წერენ A(-1), B წერტილის 3, წერენ B(3). მანძილი კოორდინატთა სათავიდან ნატურალურ და მის მოპირდაპირ რიცხვამდე ტოლია და რიცხვის მოდული ეწოდება, გამოისახება ასე მაგალითად: |5|=5 და |-5|=5.
A და B წერტეილებს შორის მანძილი გამოითვლება შემდეგნაირად, თუ A წერტილის კოორდინატია a და B წერტილის b, მაშინ ჩაიწერება: |AB| = |a-b|.
ორი რიცხვიდან მეტია ის, რომელიც რიცხვით ღერძზე მდებარეობს მარჯვნივ.
ორი მთელი რიცხვის განაყოფი შეიძლება იყოს მთელი რიცხვი, შეიძლება არა.
ნატურალური რიცხვებში მიღებული შეკრების და გამრავლების ყველა თვისება სამართლიანია მთელი რიცხვებისთვის.
შეკრების თვისებები:
a+b=b+a (გადანაცვლებადობის თვისება).
(a+b)+c=a+(b+c) (ჯუფდებადობის თვისება).
გამრავლების თვისებები:
a.b=b.a (გადანაცვლებადობის თვისება).
(a.b).c=a.(b.c) (ჯუფდებადობის თვისება).
შეკრების და გამრავლების თვისებები:
(a+b).c=a.c+b.c (შეკრების განრიგებადობის თვისება).
(a-b).c=a.c-b.c (გამოკლების განრიგებადობის თვისება).
შემოვიღოთ ძირითადი მოქმედებები მთელ რიცხვებზე
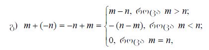
1. თუ ორივე შესაკრები არაუარყოფითი მთელი რიცხვია, მათი ჯამი განსაზღვრულია, უკვე ვიცით. თუ შესაკრები რიცხვებიდან ერთი მაინც უარყოფითია, მაშინ შეკრების ოპერაცია განისაზღვრება შემდეგნაირად:


სადაც m,n ∈ N. მაგალითად:
(-7)+(-3)=-(7+3)=-10; 4+(-9)=-(9-4)=-5.
იმისათვის, რომ შევკრიბოთ რამდენიმე მთელი რიცხვი, საჭიროა ჯერ შევკრიბოთ პირველი ორი რიცხვი, მიღებულ ჯამს დავუმატოთ შემდეგი რიცხვი და ა. შ.
2. a და b მთელი რიცხვების სხვაობა ეწოდება ისეთ x რიცხვს, რომელიც აკმაყოფილებს პირობას b + x = a და a − b სიმბოლოთი აღინიშნება. შეიძლება ვაჩვენოთ, რომ a − b = a + (−b); საიდანაც ცხადია, რომ მთელ რიცხვთა სიმრავლეში გამოკლების ოპერაცია ყოველთვის სრულდება. მაგალითად:
2-5=2+(-5)=-(5-2)=-3.
3. არაუარყოფით მთელ რიცხვთა გამრავლება განსაზღვრულია, უკვე ვიცით. თუ გადასამრავლებელი რიცხვებიდან ერთი მაინც უარყოფითია, მაშინ გამრავლების ოპერაცია განსაზღვრულია შემდეგნაირად:
(−m)n = m(−n) = −(mn);
(−m)(−n) = mn;
(−m) ⋅ 0 = 0 ⋅ (−m) = 0.
სადაც m, n ∈ N. მაგალითად:
(−3) ⋅ 2 = −(3⋅2) = −6;
(−4)(−5) = 4⋅5 = 20.
იმისათვის, რომ გადავამრავლოთ რამდენიმე მთელი რიცხვი, საჭიროა ჯერ გადავამრავლოთ პირველი ორი რიცხვი, მიღებული ნამრავლი გავამრავლოთ შემდეგ რიცხვზე და ა. შ.
4. a და b ≠ 0 მთელი რიცხვების განაყოფი (ფარდობა) ეწოდება ისეთ x რიცხვს, რომელიც აკმაყოფილებს პირობას b ⋅ x = a და a:b სიმბოლოთი აღინიშნება. 0-ზე გაყოფა არ განისაზღვრება. შეიძლება ვაჩვენოთ, რომ თუ m, n ∈ N, მაშინ:
(−m):n = m:(−n) = −(m:n);
(−m):(−n) = m:n;
0 : (−m) = 0.
მაგალითად:
(−12) : 3 = −(12 : 3) = −4;
10 : (−2) = −(10 : 2) = −5;
(−21) : (−7) = 21 : 7 = 3.
შევნიშნოთ, რომ წილად რიცხვთა სიმრავლეშიც, ისევე როგორც მთელ რიცხვთა სიმრავლეში გამოკლების ოპერაცია ყოველთვის არ სრულდება. იმისათვის, რომ გამოკლება ყოველთვის შესაძლებელი იყოს, შემოვიღოთ ე. წ. უარყოფითი წილადი რიცხვები. უარყოფითი წილადი წარმოადგენს “-” ნიშნით აღებულ ჩვეულებრივ წილადს, ე. ი. m/n სახის რიცხვს, სადაც m,n ∈ N. მიღებულია, რომ მაგალითად, 1/4 - 5/6 წარმოადგენს უარყოფით წილადს. მართლაც:

შევნიშნოთ, რომ წილადებზე მოქმედებანი იმ შემთხვევაში, როდესაც ერთი წილადი მაინც უარყოფითია, შეიძლება შეიცვალოს მოქმედებებით დადებით წილადებზე, ისევე, როგორც მთელ რიცხვებზე მოქმედებანი შეიძლება შეიცვალოს მოქმედებებით ნატურალურ რიცხვებზე. მაგალითად:


m/n სახის რიცხვებს, სადაც m ∈ Z და n ∈ N, რაციონალური რიცხვები ეწოდება.
რაციონალურ რიცხვთა სიმრავლე Q ასოთი აღინიშნება. ცხადია, რომ Z ⊂ Q.
რაციონალური რიცხვებისთვის სამართლიანია შემდეგი ტოლობები:

შენიშვნა: მათემატიკური ცნებები ძირითადად წარმოდგენილია ეროვნული მისაღები გამოცდებისთვის განკუთვნილი სახელმძღვანელოდან - ავტორები: ს.თოფურია, ვ.ხოჭოლავა, ნ.მაჭარაშვილი, გ. აბესაძე, ზ. მეტრეველი.
განმარტება: პროფესორ ს. თოფურიას რედაქციით მეხუთე გადამუშავებული გამოცემა.
ტესტები მათემატიკაში
შემაჯამებელი სულ: 73
შემაჯ. - ამოცანა: 1682
გამოცდა - CAT: 1
CAT - ამოცანა: 186
ოფისი - WINDOWS: 1
WINDOWS - ამოცანა: 25
საჭირო ინფორმაცია
შესრულებულია სულ: 5769
მათ. ცნებები სულ: 87
პოსტი - გაკვეთილი: 332
მომხმარებელი: 149
საიტზე იმყოფება: 38
