რიცხვის მეასედ ნაწილს მისი პროცენტი იწოდება. რიცხვის ერთი პროცენტი - 1% სიმბოლოთი აღინიშნება, ხოლო k პროცენტი - k% სიმბოლოთი.
პროცენტებზე განიხილება შემდეგი სამი ამოცანა:
1. რიცხვის რაიმე პროცენტის პოვნა - იმისათვის, რომ ვიპოვოთ რიცხვის k%, საჭიროა ეს რიცხვი გავამრავლოთ k/100 - ზე.
მაგალითად, 150-ის 12% უდრის 18-ს, 150*12/100 = 18.
2. რიცხვის პოვნა პროცენტის საშუალებით - იმისათვის, რომ ვიპოვოთ რომელი რიცხვის k%-ს წარმოადგენს მოცემული რიცხვი, საჭიროა იგი გავამრავლოთ 100/k.
მაგალითად, რიცხვი, რომლის 12% არის 18, ტოლია 150-ის, რადგან 18*100/12 = 150.
3. ორი რიცხვის პროცენტული ფარდობის პოვნა - იმისათვის, რომ ვიპოვო ერთი რიცხვი მეორის რამდენი პროცენტია, საჭიროა მათი ფარდობა გავამრავლოთ 100-ზე.
მაგალითად, 18 არის 150-ის 12%, რადგან (18/150)*100 = 12.
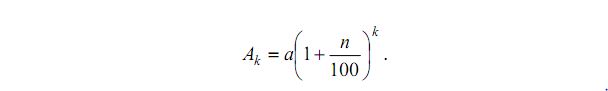
ბანკის რთული პროცენტის გამოთვლა ხდება შემდეგნაირად:
a რიცხვის რთული n%-ით გადიდება რამოდენიმე ეტაპად, ნიშნავს: ყოველ მომდევნო ეტაპის დასაწყისში წინა ეტაპზე მიღებულ რიცხვს დაემატოს მისივე n%. გამომდინარე აქედან Ak რიცხვი, რომელიც წარმოადგენს a რიცხვის მისი რთული n%-ით თანმიმდევრულად k ეტაპად გადიდებულს, გამოითვლება ფორმულით:
შენიშვნა: მათემატიკური ცნებები ძირითადად წარმოდგენილია ეროვნული მისაღები გამოცდებისთვის განკუთვნილი სახელმძღვანელოდან - ავტორები: ს.თოფურია, ვ.ხოჭოლავა, ნ.მაჭარაშვილი, გ. აბესაძე, ზ. მეტრეველი.
განმარტება: პროფესორ ს. თოფურიას რედაქციით მეხუთე გადამუშავებული გამოცემა.
ტესტები მათემატიკაში
შემაჯამებელი სულ: 73
შემაჯ. - ამოცანა: 1682
გამოცდა - CAT: 1
CAT - ამოცანა: 186
ოფისი - WINDOWS: 1
WINDOWS - ამოცანა: 25
საჭირო ინფორმაცია
შესრულებულია სულ: 5769
მათ. ცნებები სულ: 87
პოსტი - გაკვეთილი: 332
მომხმარებელი: 149
საიტზე იმყოფება: 4
