ტოლმნიშნელიანი წილადების თვისებები:
1. ტოლმნიშნელიანი ორი წილადიდან მეტია ის წილადი, რომლის მრიცხველიც მეტია და ნაკლებია ის წილადი, რომლის მრიცხველიც ნაკლებია.
2. რიცხვით სხივზე მეტ წილადს უფრო მარჯვნივ მდებარე წერტილი შეესაბამება, ნაკლებს კი - უფრო მარცხნივ მდებარე წერტილი.
3. სხვადასხვა მნიშვნელიანი წილადები რომ შევადაროთ, ჯერ დავიყვანოთ ტოლ მნიშვნელამდე და მიღებული ტოლმნიშნელიანი წილადები შევადაროთ.
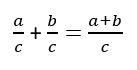
4. ტოლმნიშნელიანი წილადები რომ შევკრიბოთ საჭიროა შევკრიბოთ მრიცხველები და მნიშვნელი იგივე გადავიტანოთ.
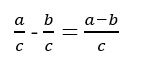
5. ტოლმნიშნელიანი წილადები რომ გამოვაკლოთ საჭიროა გამოვაკლოთ მათი მრიცხველები და მნიშვნელი იგივე გადავიტანოთ.
6. შერეული რიცხვების შეკრებისას მთელ ნაწილს მთელი ნაწილი მივუმატოთ, წილადს - წილადი და მიღებული შედეგები შევკრიბოთ.
წილადის სიდიდის ცვლილება:
1. თუ წილადის მრიცხველს რამდენჯერმე გავადიდებთ, მაშინ წილადი იმდენჯერვე გადიდდება.
2. თუ წილადის მრიცხველს რამდენჯერმე შევამცირებთ, მაშინ წილადი იმდენჯერვე შემცირდება.
3. წილადი რომ გავამრავლოთ ნატურალურ რიცხვზე, საჭიროა წილადის მრიცხველი გავამრავლოთ ამ რიცხვზე, მიღებული ნამრავლი დავწეროთ მრიცხველად, მნიშვნელი იგივე გადავიტანოთ.
წილადის ძირითადი თვისება
წილადის სიდიდე არ შეიცვლება, თუ მის მრიცხველს და მნიშვნელს გავამრავლებთ ან გავყოფთ რომელიმე ნატურალურ რიცხვზე.
წილადის შეკვეცა
წილადის მრიცხველისა და მნიშვნელის გაყოფას ერთსა და იმავე ნატურალურ რიცხვზე წილადის შეკვეცა ეწოდება.
შენიშვნა: მათემატიკური ცნებები ძირითადად წარმოდგენილია ეროვნული მისაღები გამოცდებისთვის განკუთვნილი სახელმძღვანელოდან - ავტორები: ს.თოფურია, ვ.ხოჭოლავა, ნ.მაჭარაშვილი, გ. აბესაძე, ზ. მეტრეველი.
განმარტება: პროფესორ ს. თოფურიას რედაქციით მეხუთე გადამუშავებული გამოცემა.
ტესტები მათემატიკაში
შემაჯამებელი სულ: 73
შემაჯ. - ამოცანა: 1682
გამოცდა - CAT: 1
CAT - ამოცანა: 186
ოფისი - WINDOWS: 1
WINDOWS - ამოცანა: 25
საჭირო ინფორმაცია
შესრულებულია სულ: 5769
მათ. ცნებები სულ: 87
პოსტი - გაკვეთილი: 332
მომხმარებელი: 149
საიტზე იმყოფება: 5
