ნატურალურ რიცხვთა N სიმარვლეში ყოველთვის შესაძლებელია გამრავლების ოპერაციის შესრულება. ე. ი. ნებისმიერი ორი ნატურალური რიცხვის ნამრავლი კვლავ ნატურალური რიცხვია. რაც შეეხება გაყოფას - ეს ოპერაცია ნატურალურ რიცხვთა სიმრავლეში ყოველთვიოს არ სრულდება. მაგალითად, არ არსებობს ნატურალური რიცხვი, რომელიც 3:7 ოპერაციის შედეგია.
გაყოფის ოპერაცია რომ ყოველთვის შესაძლებელი იყოს, შემოვიღოთ ე. წ. წილადი რიცხვები. რიცხვი, რომელიც წარმოადგენს რიცხვი 1-ის n-ურ ნაწილს ( n ∈ N, n ≠ 1) აღინიშნება 1/n სიმბოლოთი. თუ ასეთი ნაწილი აღებულია m-ჯერ, მაშინ მიღებული რიცხვი აღინიშნება m/n სიმბოლოთი.
მიღებულია, რომ ნებისმიერი m ∈ N რიცხვი შეიძლება ჩაიწეროს m/1 სახითაც. m/n სახის რიცხვს, სადაც m,n ∈ N, წილადი რიცხვი ეწოდება. m-ს წილადის მრიცხველი ეწოდება, ხოლო n-ს მნიშვნელი. თუ m < n, წილადს წესიერი ეწოდება, ხოლო თუ m ≥ n - არაწესიერი.
მაგალითად, 2/3 წესიერი წილადია, ხოლო 29/7 - არაწესიერი.
თუ არაწესიერი წილადის მრიცხველი უნაშთოდ იყოფა მნიშვნელზე, მაშინ წილადი ნატურალურ რიცხვს წარმოადგენს.
მაგალითად, 12/3 = 4.
თუ არაწესიერი წილადის მრიცხველი უნაშთოდ არ იყოფა მნიშვნელზე, მაშინ იგი შეიძლება წარმოვადგინოთ ე. წ. შერეული წილადის სახით, რომელიც შედგება მთელი და წილადი ნაწილისაგან. მთელი ნაწილი წარმოადგენს მრიცხველის მნიშვნელზე გაყოფის შედეგად მიღებულ განაყოფს, წილადი ნაწილის მრიცხველია ნაშთი, ხოლო მნიშვნელი უცვლელია.

იმისათვის, რომ შერეული წილადი გადავაქციოთ არაწესიერ წილადად, საჭიროა მთელი გავამრავლოთ მნიშვნელზე, დავუმატოთ მრიცხველი და დავწეროთ მრიცხველად, ხოლო მნიშვნელი უცვლელად დავტოვოთ. მაგალითად:

m/n და n/m წილადებს ეწოდება ურთიერთშებრუნებული. ამბობენ, რომ m/n და p/q წილადები ტოლია, თუ mq = np. მაგალითად, 4/6 = 6/9, რადგან 4 ⋅ 9 = 6 ⋅ 6.
აქედან გამომდინარეობს წილადის ძირითადი თვისება: თუ წილადის მრიცხველსა და მნიშვნელს გავამრავლებთ ან გავყოფთ ნულისაგან განსხვავებულ ერთსა და იმავე რიცხვზე, ამით წილადის სიდიდე არ შეიცვლება. მაგალითად:

ტოლმნიშვნელიან წილადებს შორის ის არის მეტი, რომლის მრიცხველიც მეტია, ხოლო ტოლმრიცხველიან წილადებს შორის ის, რომლის მნიშვნელიც ნაკლებია. მაგალითად:

საზოგადოდ, წილადები რომ შევადაროთ, საჭიროა წილადის ძირითად თვისებაზე დაყრდნობით ისინი ჯერ გავაერთმნიშვნელიანოთ. გაერთმნიშვნელიანებისათვის საჭიროა მოვძებნოთ მნიშვნელების უმცირესი საერთო ჯერადი, რომელიც მივიღოთ საერთო მნიშვნელად; თითოეული წილადისათვის ვიპოვოთ ე. წ. დამატებითი მამრავლი, რომელიც მიიღება საერთო მნიშვნელის გაყოფით ამ წილადის მნიშვნელზე და მრიცხველები გავამრავლოთ შესაბამის დამატებით მამრავლებზე. მაგალითად:
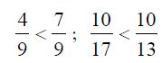
შევადაროთ 4/15 და 5/18; K(15; 18) = 90. პირველი წილადის დამატებითი ნამრავლია 90:15 = 6, მეორე წილადის - 90:18 = 5, ამიტომ

რადგან 24/90 < 25/90, ამიტომ 4/15 < 5/18.
ტოლმნიშვნელიანი წილადები რომ შევკრიბოთ, საჭიროა შევკრიბოთ მათი მრიცხველები და დავწეროთ მრიცხველად, ხოლო მნიშვნელი უცვლელად დავტოვოთ. სხვადასხვამნიშვნელიანი წილადები რომ შევკრიბოთ, საჭიროა ისინი ჯერ გავაერთმნიშვნელიანოთ და შემდეგ შევკრიბოთ. მაგალითად:

შერეული წილადები რომ შევკრიბოთ, საჭიროა ცალ-ცალკე შევკრიბოთ მათი მთელი და წილადი ნაწილები. მაგალითად:

ტოლმნიშვნელიანი წილადები რომ გამოვაკლოთ, საჭიროა გამოვაკლოთ მათი მრიცხველები და დავწეროთ მრიცხველად, ხოლო მნიშვნელი უცვლელად დავტოვოთ. სხვადასხვამნიშვნელიანი წილადები რომ გამოვაკლოთ, საჭიროა ისინი ჯერ გავაერთმნიშვნელიანოთ და შემდეგ გამოვაკლოთ. მაგალითად:

შერეული წილადები რომ გამოვაკლოთ, საჭიროა ცალცალკე გამოვაკლოთ მათი მთელი და წილადი ნაწილები. თუ მაკლების წილადი ნაწილი მეტია საკლების წილად ნაწილზე, მაშინ საკლების ერთი ერთეული უნდა ვაქციოთ არაწესიერ წილადად. მაგალითად:

წილადები რომ გადავამრავლოთ, საჭიროა მათი მრიცხველების ნამრავლი დავწეროთ მრიცხველად, ხოლო მნიშვნელების ნამრავლი მნიშვნელად. მაგალითად:

შერეული წილადები რომ გადავამრავლოთ, საჭიროა ისინი ჯერ გადავაქციოთ არაწესიერ წილადებად და შემდეგ გადავამრავლოთ. მაგალითად:

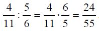
წილადი რომ წილადზე გავყოთ, საჭიროა პირველი წილადი გავამრავლოთ მეორის შებრუნებულზე. მაგალითად:

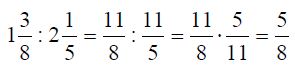
შერეული წილადები რომ გავყოთ, საჭიროა ისინი ჯერ გადავაქციოთ არაწესიერ წილადებად და შემდეგ გავყოთ. მაგალითად:

შენიშვნა: მათემატიკური ცნებები ძირითადად წარმოდგენილია ეროვნული მისაღები გამოცდებისთვის განკუთვნილი სახელმძღვანელოდან - ავტორები: ს.თოფურია, ვ.ხოჭოლავა, ნ.მაჭარაშვილი, გ. აბესაძე, ზ. მეტრეველი.
განმარტება: პროფესორ ს. თოფურიას რედაქციით მეხუთე გადამუშავებული გამოცემა.
ტესტები მათემატიკაში
შემაჯამებელი სულ: 73
შემაჯ. - ამოცანა: 1682
გამოცდა - CAT: 1
CAT - ამოცანა: 186
ოფისი - WINDOWS: 1
WINDOWS - ამოცანა: 25
საჭირო ინფორმაცია
შესრულებულია სულ: 5769
მათ. ცნებები სულ: 87
პოსტი - გაკვეთილი: 332
მომხმარებელი: 149
საიტზე იმყოფება: 3
